美國拉隆石英晶體底漆
來源:http://www.giantshuffleboard.com 作者:金洛鑫電子 2018年12月17
隨著美國拉隆晶振入駐中國市場的時間越長,熟悉和使用的人也越來越多,這家1983在邁阿密成立的Raltron Electronics Corporation,憑借親切完善的服務,和高品質低成本的石英晶體產品,在國內和世界各地都收獲不少忠實的用戶,高性能頻率控制解決方案,滿足并超越客戶在價格,使Raltron在行業里有著舉足輕重的地位,服務過的企業和工廠超過300000家,并被客戶肯定,認為是優秀的頻率控制元器件供應商之一。
對于晶體振蕩器設計和工程成功,設計工程師必須首先了解石英晶體諧振器。晶體作為振蕩器電路中最高的Q分量,對晶體管的影響最大電路。因此,正確指定晶體對于精心設計的振蕩器至關重要。這個迷你入門將涵蓋一些石英晶體最容易被誤解的參數。
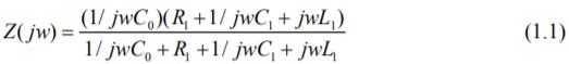
圖1顯示了晶體諧振器的電等效電路。

圖1:晶體符號及其單模,1端口,晶體諧振器等效電路在圖1中,C1,L1和R1構成晶體諧振器的運動臂。C0是分流器電容主要是由石英晶體的電極和晶體的電極形成的持有人。 并聯電容C0是等效電路中唯一的物理值。這個參數實際上可以用一個簡單的電容計測量。動作手臂另一方面,組件(C1,L1和R1)是等同物,因此不是真實的。注意這個等價物僅用于基本反應,而附加的動作武器也可以添加了每個泛音和虛假。
圖1晶體等效電路的阻抗方程為,

哪里
j=虛構運算符=-1
w=弧度頻率= 2pf
公式(1.1)是復阻抗,但我們的興趣將在它的虛部或其中電抗。圖2描繪了這一點。

圖2:石英晶振的電抗與頻率的關系圖
圖2中有四個關鍵事實。
首先,fs是動態電容C1抵消動態電感的頻率L1。其次,fs被稱為晶體的“串聯共振”并表示為

第三,反諧振點或并聯諧振fa,是運動電感L1的所在與C1和C0的并聯組合共振。第四,fa表示

通過改變負載電容來拉動頻率
許多應用需要改變晶體的頻率。一個例子是VCXO(壓控晶體振蕩器),需要將工作頻率調到a期望的值或在期望的電壓范圍內改變頻率。作為容性負載隨著晶體的系列變化,晶體頻率被拉。這種頻率的變化負載電容CL表示為

哪里
fL=負載電容的頻率
fs=串聯諧振頻率
C1=晶體的運動電容
Co=晶體的并聯電容

注意,等式(1.4)被寫為從串聯諧振頻率到負載的增量共振頻率。換句話說,分數頻率從fs變為fL。降低負載電容的值將增加晶振的頻率。最終,將達到fa的頻率,但應避免晶體振蕩器。這導致

(1.6)的結果是到極點的分數頻率距離,或fa到fs。這被稱為零到極間距,并設定晶體總可拉性的限制。
典型拉力曲線的(1.4)的圖形表示:

圖3:等式(1.4)的圖。 典型的諧振器頻率拉動曲線與負載電容其中運動電容C1=0.01pF,并聯電容C0=5pF。20pF與該晶體串聯,頻率比串聯諧振頻率高+200 PPM。關于CL的等式(1.4)的一階導數導致

晶體制造商稱晶體給定負載電容的公式(1.7),“Trim靈敏度”。圖4是“修剪靈敏度”的圖形表示。

圖4:等式(1.7)的圖。 典型的晶體微調靈敏度與負載電容,其中運動電容C1=0.01pF和并聯電容C0=5pF。在CL為10pF時,TS=-22.22PPM/pF。在CL=20pF時,TS=-8PPM/pF。
Trim Sensitivity等式(1.7)提供了如何選擇負載的重要見解晶體的電容值。如果設計者的目標是制造固定頻率石英晶體振蕩器,那么如在微處理器應用中,他/她選擇一個大的負載電容值,如18-上22pF。如果設計者想要拉晶體,那么他/她選擇一個小的負載電容值像9pF-14pF。
水晶有很多反應!
所有晶體都有許多共振響應(見圖5)。第一個主要的反應稱為“基本的”。在它的右邊,是下一個主要響應,即第三個泛音,然后是五Overtone,等等。只有奇怪的泛音。泛音反應不是諧波根本的。根據定義,諧波是較低頻率的精確倍數。對于例如,第3泛音通常位于基本的2.8到3.2倍之間。所以晶體有沒有諧波,但泛音。
檢查圖5,注意晶體在某些頻率點表現得像一個電阻,并且像其他頻率區域的電感器或電容器。連接到晶體的電路拓撲決定了晶體的工作位置。其他換言之,電路迫使晶體進入基波,并聯,泛音或串聯模式。見下面的定義。

“負載電容”:晶體的頻率將根據電容而變化與晶體串聯的電抗。因此,設計者必須指定電容值需要將晶體校準到頻率。典型值介于9-32pF之間;18-20 pF是最常見的。負載電容有效地與晶體串聯,永遠不會跨越它。
“平行晶體”:在一個電感區域校準到所需頻率的晶體晶體的電抗曲線。由于它是一個區域,設計師必須準確識別其中的位置他/她需要晶體操作的區域。該地區的確切點由負載電容值。
“系列晶體”:在其中一個電阻點上校準到所需頻率的石英晶體諧振器的電抗曲線。電阻點可以是基波點或其中之一泛音反應。需要指定無負載電容,因為它是一個操作點而不是一個地區。
“基本水晶”:一種設計并校準到所需頻率的水晶最低主要共振響應。基本晶體可以校準為“系列”或“平行”。
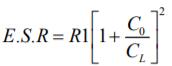
“泛音水晶”:在除主要響應之外的主要響應下校準到所需頻率的晶體根本。泛音晶體可以校準為“系列”或“平行”。“等效串聯電阻(E.S.R)”:串聯諧振時晶體的電阻為只是運動阻力R1。在并聯共振區域,其價值包括:

因此,E.S.R是并聯諧振區域中晶體的電阻或損耗。請注意,重要的是要了解每個晶體都能夠在基本或任何基礎上運行泛音模式,串聯和并聯諧振。這只是匹配水晶的問題制造商的校準條件對應用于晶體端子的條件周圍電路。
金洛鑫電子有正規熟悉的渠道可為廣大用戶訂購原裝的Raltron晶振正品,并且可提供免費的技術支持服務,多年來因為友好的服務態度,和專注于晶振的精神,記得眾多生產廠家們的信任和支持!
對于晶體振蕩器設計和工程成功,設計工程師必須首先了解石英晶體諧振器。晶體作為振蕩器電路中最高的Q分量,對晶體管的影響最大電路。因此,正確指定晶體對于精心設計的振蕩器至關重要。這個迷你入門將涵蓋一些石英晶體最容易被誤解的參數。
圖1顯示了晶體諧振器的電等效電路。

圖1:晶體符號及其單模,1端口,晶體諧振器等效電路在圖1中,C1,L1和R1構成晶體諧振器的運動臂。C0是分流器電容主要是由石英晶體的電極和晶體的電極形成的持有人。 并聯電容C0是等效電路中唯一的物理值。這個參數實際上可以用一個簡單的電容計測量。動作手臂另一方面,組件(C1,L1和R1)是等同物,因此不是真實的。注意這個等價物僅用于基本反應,而附加的動作武器也可以添加了每個泛音和虛假。
圖1晶體等效電路的阻抗方程為,

哪里
j=虛構運算符=-1
w=弧度頻率= 2pf
公式(1.1)是復阻抗,但我們的興趣將在它的虛部或其中電抗。圖2描繪了這一點。

圖2:石英晶振的電抗與頻率的關系圖
圖2中有四個關鍵事實。
首先,fs是動態電容C1抵消動態電感的頻率L1。其次,fs被稱為晶體的“串聯共振”并表示為

第三,反諧振點或并聯諧振fa,是運動電感L1的所在與C1和C0的并聯組合共振。第四,fa表示

通過改變負載電容來拉動頻率
許多應用需要改變晶體的頻率。一個例子是VCXO(壓控晶體振蕩器),需要將工作頻率調到a期望的值或在期望的電壓范圍內改變頻率。作為容性負載隨著晶體的系列變化,晶體頻率被拉。這種頻率的變化負載電容CL表示為

哪里
fL=負載電容的頻率
fs=串聯諧振頻率
C1=晶體的運動電容
Co=晶體的并聯電容

注意,等式(1.4)被寫為從串聯諧振頻率到負載的增量共振頻率。換句話說,分數頻率從fs變為fL。降低負載電容的值將增加晶振的頻率。最終,將達到fa的頻率,但應避免晶體振蕩器。這導致

(1.6)的結果是到極點的分數頻率距離,或fa到fs。這被稱為零到極間距,并設定晶體總可拉性的限制。
典型拉力曲線的(1.4)的圖形表示:

圖3:等式(1.4)的圖。 典型的諧振器頻率拉動曲線與負載電容其中運動電容C1=0.01pF,并聯電容C0=5pF。20pF與該晶體串聯,頻率比串聯諧振頻率高+200 PPM。關于CL的等式(1.4)的一階導數導致

晶體制造商稱晶體給定負載電容的公式(1.7),“Trim靈敏度”。圖4是“修剪靈敏度”的圖形表示。

圖4:等式(1.7)的圖。 典型的晶體微調靈敏度與負載電容,其中運動電容C1=0.01pF和并聯電容C0=5pF。在CL為10pF時,TS=-22.22PPM/pF。在CL=20pF時,TS=-8PPM/pF。
Trim Sensitivity等式(1.7)提供了如何選擇負載的重要見解晶體的電容值。如果設計者的目標是制造固定頻率石英晶體振蕩器,那么如在微處理器應用中,他/她選擇一個大的負載電容值,如18-上22pF。如果設計者想要拉晶體,那么他/她選擇一個小的負載電容值像9pF-14pF。
水晶有很多反應!
所有晶體都有許多共振響應(見圖5)。第一個主要的反應稱為“基本的”。在它的右邊,是下一個主要響應,即第三個泛音,然后是五Overtone,等等。只有奇怪的泛音。泛音反應不是諧波根本的。根據定義,諧波是較低頻率的精確倍數。對于例如,第3泛音通常位于基本的2.8到3.2倍之間。所以晶體有沒有諧波,但泛音。
檢查圖5,注意晶體在某些頻率點表現得像一個電阻,并且像其他頻率區域的電感器或電容器。連接到晶體的電路拓撲決定了晶體的工作位置。其他換言之,電路迫使晶體進入基波,并聯,泛音或串聯模式。見下面的定義。

“負載電容”:晶體的頻率將根據電容而變化與晶體串聯的電抗。因此,設計者必須指定電容值需要將晶體校準到頻率。典型值介于9-32pF之間;18-20 pF是最常見的。負載電容有效地與晶體串聯,永遠不會跨越它。
“平行晶體”:在一個電感區域校準到所需頻率的晶體晶體的電抗曲線。由于它是一個區域,設計師必須準確識別其中的位置他/她需要晶體操作的區域。該地區的確切點由負載電容值。
“系列晶體”:在其中一個電阻點上校準到所需頻率的石英晶體諧振器的電抗曲線。電阻點可以是基波點或其中之一泛音反應。需要指定無負載電容,因為它是一個操作點而不是一個地區。
“基本水晶”:一種設計并校準到所需頻率的水晶最低主要共振響應。基本晶體可以校準為“系列”或“平行”。
“泛音水晶”:在除主要響應之外的主要響應下校準到所需頻率的晶體根本。泛音晶體可以校準為“系列”或“平行”。“等效串聯電阻(E.S.R)”:串聯諧振時晶體的電阻為只是運動阻力R1。在并聯共振區域,其價值包括:

因此,E.S.R是并聯諧振區域中晶體的電阻或損耗。請注意,重要的是要了解每個晶體都能夠在基本或任何基礎上運行泛音模式,串聯和并聯諧振。這只是匹配水晶的問題制造商的校準條件對應用于晶體端子的條件周圍電路。
金洛鑫電子有正規熟悉的渠道可為廣大用戶訂購原裝的Raltron晶振正品,并且可提供免費的技術支持服務,多年來因為友好的服務態度,和專注于晶振的精神,記得眾多生產廠家們的信任和支持!
正在載入評論數據...
相關資訊
- [2025-08-29]CTS致力于成為技術的前沿提供創...
- [2025-08-29]Diodes宣布推出一款智能48通道L...
- [2025-08-25]Rakon瑞康為什么應該放棄標準CO...
- [2025-08-25]Transko特蘭斯科推出了結合MEMS...
- [2025-08-23]SiT5503超精密溫度補償晶體振蕩...
- [2025-08-23]探索SiTime專為導航航空航天和國...
- [2024-04-11]CTECH濾波器型號數據列表CLB75P...
- [2024-03-18]Statek晶振產品應用CX20SCSM1-1...