超詳細業內資料一篇文帶你全方位了解什么是石英晶體
來源:http://www.giantshuffleboard.com 作者:金洛鑫電子 2020年07月08
超詳細業內資料一篇文帶你全方位了解什么是石英晶體
以石英,水晶為原材料的石英晶體和石英晶體振蕩器已擁有很長一段歷史了,按時間算已經有100多年,只不過在20世紀40年代才開始真正的發展起來,并且非常迅速,至今石英晶振已經成為各種電子,電氣,智能產品重要的,關鍵的電子元器件.雖然已經很常用了,但如果不是專業人士,一般群眾對晶體的認識少之又少,金洛鑫電子整理的這些資料,可以帶廣大新老客戶全方位的了解什么是晶體晶振,看完之后至少會有基礎的認識,如有疑問,歡迎在評論區留言!
背景歷史
雅克和皮埃爾·居里于1880年發現了石英的壓電特性.第一個石英晶體振蕩器是由沃爾特·卡迪在1921年制造的.1923年,英國國家物理實驗室的戴伊和貝爾電話實驗室的沃倫·馬里奧森用石英振蕩器產生了一系列精確的時間信號.
壓電效應
石英板在受到電荷時顯示出機械運動或應變,相反,當受到機械應力時,它們顯示出面之間的電位差.電應力和機械運動之間的這種關系被稱為壓電效應.壓電諧振器有四種基本的機械振動模式.
1.彎曲模式
2.剪切模式
3.縱模
4.扭轉模式
AT切割水晶
最常見的晶體設計之一是AT切割晶體,它將是貫穿本應用筆記的參考晶體類型.對于1兆赫以上的頻率,通常只使用厚度剪切振動模式.AT切割晶體的頻率由晶體的厚度決定,即晶體越薄,頻率越高.諧振器的振動質量相當于一系列運動電感,L1.晶體的機械損耗表現為等效串聯電阻R1,而晶體的機械彈性相當于串聯電容C1.C0是與保持器和電極電容相關聯的并聯電容.AT切割晶體具有良好的穩定性和溫度特性,這是它們受歡迎的原因之一. 公式-等效電子
除非另有說明,否則ATCut晶體將以基本模式運行.但是,任何AT晶振都可能以基頻的泛音或奇數倍數工作.這意味著10MHz的基本晶體將在10MHz,30MHz[第三次泛音],50MHz[第五次泛音]等條件下工作.使用泛音[奇次諧波]可使高頻工作,同時保持較厚的石英晶片.
等效電路
石英晶體的等效電路如下所示.可以指定每個組件來幫助表征設備的獨特屬性.在定義石英晶體的規格時,應檢查等效電路的各個參數.對于所有設計,每種類型的晶體設計都有限制.
等效電路由以下參數組成.所有參數都可以通過設計進行自定義,但可以捆綁在一起,因此對一個參數的更改會更改其他參數.
L1:晶體的運動電感取決于運動中石英的機械質量.較低的頻率(較厚和較大的石英晶片)趨向于運行幾亨,而較高的頻率(較薄和較小的石英晶片)趨向于運行幾毫亨.L1和C1之間的關系由以下公式定義.最好讓客戶指定C1[必要時],然后可以計算L1.
C1:動電容由石英的剛度[常數],晶體表面的金屬化面積[電極尺寸]以及晶片的厚度和形狀決定.在較低的頻率下,必須對晶片進行定形(輪廓或倒角)以提高性能.這將降低設備的C1.基本模式晶體的C1范圍約為0.005pF至0.030pF.通常,如果在泛音上使用基本設計,則C1將除以泛音的平方.[第三諧波將是基本面的1/9]
R1:運動電阻是貼片晶振等效電路的電阻元件.該電阻表示晶體在自然諧振頻率[串聯諧振]下的等效阻抗.對于給定的晶體Q和串聯諧振頻率,運動電阻與晶體的有效面積成反比.有效面積與電極面積大致相同.因此,較小的晶體具有較高的R1.實際上,較小晶體的Q不如較大晶體的Q高.減小的Q也有助于提高R1.如果未將電路調整為適應更高的R1,則可能導致振蕩器出現啟動問題.
C0:晶體的并聯電容部分歸因于晶片的厚度.這是在不振動的情況下測得的電容.分流電容范圍為1-7pF.由于與振蕩器電路兼容,通常不超過7pF.
品質因數[Q]:代表諧振曲線的清晰度的因數.與其他諧振器類型相比,石英具有很高的Q值,典型值范圍為10,000至100,000s.
頻率
頻率值通常以千赫茲[kHz]為單位,最高為999.999,以兆赫茲[MHz]為1.0以上.
公差與穩定性
頻率值通常以千赫茲[kHz]為單位指定,最高為999.999,以兆赫茲[MHz]為單位.
1.在室溫下校準,或有時稱為公差
2.在溫度范圍內的穩定性
3.老化
室溫下的校準是+25℃下電路中頻率的精度.典型公差范圍為±10ppm至±100ppm.通過改變電極的質量,可以將晶體調諧到規定公差內的所需頻率.較高的頻率對質量變化更敏感,因此更難保持更嚴格的公差.存在在某些設計上滿足±5ppm精度的能力,但是在某些情況下,測量的可重復性成為問題.對于大多數設計而言,只有在規定的精度超過±10ppm且對±5ppm的要求應用了可觀的成本增加器之后,才產生高額成本.
高溫穩定性取決于切割石英棒以生產晶片的角度.這與校準無關.選擇該角度可控制給定溫度范圍內的頻率漂移.最受歡迎的頻率削減系列是“AT”削減.ATCut用于以+25℃為中心的非受控環境.
可以選擇三個不同的角度來優化不同范圍內的性能.較低的角度可用于-20℃~+70℃的溫度范圍,應選擇較大的角度以適用于較寬的溫度范圍.在給定的溫度范圍內,在更嚴格的公差(較小的ppm偏移)范圍內的性能受到曲線本身以及角度切割精度的限制.好的切割精度可以低至1至2分鐘,而測量精度則可以精確至0.1分鐘.與該過程有關的擴散和為3分鐘以上的時間增加的成本增加了成本.曲線允許對溫度范圍的公差進行理論限制.注意不要指定不可能的情況.
典型AT-Cut晶體的溫度曲線顯示在右側.這通常被稱為Bechmann曲線.石英水晶振子的老化是其頻率相對于時間的變化. 串聯或并聯
一個常見的問題是應為晶體指定什么相關性:串聯或并聯?如果是并聯,應指定什么負載電容?這些問題可以通過分析晶體將使用哪種類型的振蕩器電路來回答.晶體制造商必須知道此信息,才能將晶體正確調整到特定應用所需的頻率.振蕩發生的頻率由該公式定義.
晶體的電抗曲線揭示了發生機械共振的位置.串聯諧振發生在曲線過零的點.在這一點上,晶體似乎是一個被電容分流的簡單電阻.通過在晶體上串聯或并聯增加電容[負載],會發生并聯諧振,從而導致正頻移.
如果指定的晶振相關性錯誤,則該晶振仍將運行,但會偏離所需頻率運行.對于大多數應用,串聯和并聯之間的頻移約為±300ppm.
負載電容
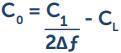
如果指定了并聯諧振,但調出了錯誤的負載電容,則將出現頻率誤差.對于公差要求比較嚴格的應用,正確指定此參數至關重要.對于大多數微處理器應用,兩個負載電容器分別連接到晶體的每個引腳到地.為了計算合適的負載電容CL,您必須考慮晶體插入應用時將看到的總電容CT.由于應用板的原因,它將看到負載電容器以及任何其他雜散電容CS.用于計算總負載的公式定義為:
在上述示例中,根據選擇的CL1和CL2值,計算得出的負載電容為19pF或21.5pF.大多數晶體公司的標準負載電容為18pF或20pF,在這些示例中可以接受.可變電容器可以代替固定電容器之一,并且頻率可以被“微調”或少量調整至期望的頻率.修整范圍的量有時稱為“可拉性”或“修整靈敏度”.如果這對您的電路很重要,則應指定晶體的動電容,以確保修整范圍的一致性.
可拉性
當晶體以并聯諧振運行時,它在電路中看起來是電感性的.隨著電抗的改變,頻率相應地改變,從而改變了晶體的可拉性.fs和fa之間的差異取決于晶體的C0/C1比.可以設計晶體的可拉伸性以滿足客戶的要求.但是,上拉功能隨封裝尺寸,電極尺寸,頻率,負載電容范圍和工作模式而變化.
雜散模式
石英晶體具有許多振動模式,可以通過振蕩器輸入正確的頻率來激發它.可以調整晶片的設計,電極圖案和金屬化量以抑制這些有害模式.這些不需要的模式稱為偽模式.
如果響應與主模式一樣強,則雜散模式可能會成為問題.發生這種情況時,振蕩器可能會以雜散模式而不是主模式運行.這稱為模式跳躍.雜散模式應指定為與主模式的電阻比或dB抑制.1.5或2到1的電阻比足以避免大多數石英晶體振蕩器的模式跳變.-3dB到-6dB大約等效于dB規格.
晶體的基本模式可以實現最佳的雜散抑制,而泛音響應則更難控制.由于可拉性原因而需要較高C1值的設計也可能會犧牲雜散模式抑制.對于晶體濾波器設計,基本模式/低C1設計可以滿足低至-40dB的雜散模式抑制.
雜散模式出現在主模式以下幾百千赫茲的范圍內,響應可能如下圖所示.某些振蕩器設計有時需要指定抑制泛音響應.由于所有的泛音響應都可以激發為振動,因此會發生從基頻到第三泛音的模式跳變.為了減少電路修改成本,也可能需要或希望使用振蕩器設計.這些修改有時會影響其他參數,因此明智的做法是與工廠聯系以討論設計選項. 其他常用術語和概念
晶體的老化是頻率相對于時間的變化.該性能受兩個主要因素影響:污染和壓力.老化值范圍從第一年的小于±1ppm到第一年的高達±5ppm,并取決于頻率,設計和包裝樣式.自身附著在晶片表面的污染會由于質量負載而導致負頻率偏移.制造過程的清潔度和晶體的清潔度可以改善老化性能.包裝的氣密性有助于在晶體使用壽命內避免污染.封裝類型和密封方法也可以改善老化性能.
在應力隨時間的松弛過程中,對石英晶片的應力效應會導致正向頻移.該應力是由于安裝結構扭曲,推動或拉動晶片而產生的.這可能發生在石英毛坯的處理,環氧樹脂安裝膠的固化,晶體安裝結構以及設備中使用的金屬電極材料類型的晶體的各種組件中.加熱和冷卻還由于不同的膨脹系數而引起應力.隨著系統松弛,系統中的壓力通常會隨著時間而變化,這可能會導致頻率變化.為了幫助加速應力的松弛,有時會使用熱循環來”鍛煉”安裝結構并緩解應力.
加速老化可以通過加速加熱來預測老化性能.將晶體放在高溫烤箱中會加速老化效果,因此可以在短短幾周內看到一年的老化時間.晶體的時效曲線是對數的,因此在第一年中觀察到最差的時效.指定老化規范時的一個常見錯誤是,假設第一年的±1ppm老化意味著±10ppm的十年.這不是真的.第一年±1ppm的老化將導致十年內約±3ppm.
測量精度當指定晶體的公差時,測量精度可能是可制造性的問題.使用”零相位”或無源測量技術,精度可能達到百萬分之幾.對于串聯諧振晶體,由于測量的可重復性,±5ppm的公差不被認為是問題.當指定并聯諧振或負載測量時,故障開始.測量的最終精度取決于負載電容的精度.并聯諧振測量中使用的負載電容器的精度由下面的調整靈敏度公式表示.如果負載電容變小,則DeltaF/pF將變大.另外,如果運動電容變大,則ΔF/pF變大.
例如:
100MHz基本
C1為0.020pF
C0為4.5pF
對于10pF的負載電容,調整靈敏度將為48ppm/pF.
如果負載電容的精度為0.5pF,則測量精度為24ppm.另一方面,如果負載為20pF,則修整靈敏度為16ppm/pF,并且在相同負載精度下,測量精度為8ppm.這些僅是說明指定低負載電容的影響的示例.
驅動電平是晶體中耗散的RMS功率量,通常以毫瓦[mW]或微瓦[µW]表示.最大驅動電平是晶體可以安全消散并仍在規定的電氣參數范圍內保持功能的最大功率.過多的驅動器電平會導致頻率意外變化[加速老化],從而導致等效串聯電阻增加.如果發生對晶體安裝結構的損壞,這些變化可能是永久性的,如果諧振器損壞,這些變化將是災難性的.
晶體的測量還需要指定驅動電平.為了獲得更高的精度,首選較低的驅動級別.驅動級別通常在10uW至2mW之間.具有較大石英晶片的低頻設備可以處理更高的驅動電平而不會造成損壞.更高的驅動電平(高于5mW)可能會損壞較小的高頻設備.當今的應用很少能驅動高于2mW的晶體,典型的最大功率為100uW.
如果客戶未定義,CTS將指定100uW的標準最大驅動器級別.由于在振蕩電路工作時驅動電平指示晶體單元的功耗,因此將晶體保持在驅動電平規格之內非常重要.
驅動電平相關性[DLD]或驅動電平靈敏度[DLS]描述了一種現象,即由于石英固有的微小材料非線性,所有諧振器都取決于某個驅動電平.DLD是可以防止晶振開始振蕩的原因之一.在低驅動水平下,某些石英諧振器的串聯電阻可能會大幅增加,從而阻止了它們開始振蕩.一些工程師將它們描述為“睡眠晶體”.該電路有時會啟動,而不會在其他時間啟動,但可以通過觸摸示波器探頭,手指或更多驅動器來激發.實施DLD測試可以確保ESR和頻率的變化在最大范圍內,從而確保了初始電源啟動.
環境在晶體規格中,電氣性能規格將確定其是否可以正常運行,但是環境規格可確保晶體的可靠性.重要的是要認識到應用環境并適當地指定要求.MIL-STD-202定義了適用于晶體的環境測試:
•機械沖擊
•振動
•耐腐蝕性能
-濕度
-鹽霧
-濕氣
•熱沖擊
•氣質
•可焊性
機械沖擊測試決定了跌落時設計的強度.軍方使用的標準基線規格是100克.如果應用程序環境良好,并且在組裝過程中使用了適當的處理方法,則此規格已足夠.但是在很多情況下,零件在組裝過程中會意外掉落,我們希望晶體仍能正常工作.從桌面高度掉落水晶可能會導致超過1,000克的重量.CTS設計范圍從500克到10,000克以上.持續時間[時間]通常伴隨著g電平來表征脈沖.低沖擊水平下的持續時間可能很長[20ms].較高的震動等級[5,000g’s]會縮短持續時間[1/4ms].一些設計是專門的,有時會影響電氣性能.請聯系CTS以獲得有關特定晶體設計性能的信息.另外,CTS可以建議適當的處理程序,以避免損壞晶體.
振動測試晶體在振動條件下的功能.如果冷卻風扇在機架中運轉,則它可能會振動,從而導致晶體振動.如果引擎靠近水晶,會感覺到震動.振動會導致石英晶片破裂或破裂,從而損壞晶體.為了通過更嚴格的振動要求,需要對內部安裝結構進行適當的設計.軍事基準振動規范為10g,適用于10到500Hz.晶體的更嚴格的規范是在更高的頻率(高達200Hz)和/或更高的g水平.同樣重要的是,應將晶體安裝在印刷電路板上,以減少晶體和電路板的Q形.Q-ing是當振動由于與板或晶體的自然共振而放大時.發生這種情況時,g含量會顯著升高,通常會損壞晶體.
耐腐蝕性是晶體抗銹的能力.鹽霧測試表明,金屬或陶瓷包裝不會生銹,并且包裝不會隨時間而破裂.如果金屬部分未正確電鍍,則用于制造的水洗系統可能會使包裝生銹.對于電阻焊應用,CTS使用鎳合金蓋或鍍鎳的KOVAR蓋以確保CTS零件不會生銹.
濕度和濕度測試不僅可以測試防銹性能,還可以測試密封包裝的滲透性.如果水分進入包裝內,將導致性能不佳或無輸出.為了在晶體中具有出色的長期性能,必須具有良好的干燥氣氛.
熱沖擊是一種在溫度快速變化的情況下測試封裝和石英晶片兼容性的方法.如果不兼容,晶體的性能將急劇變化或封裝可能泄漏.通常,在熱沖擊后執行泄漏測試.對于晶體,標準測試是在空對空環境中進行的,溫度范圍從-65℃到+125℃.液對液測試通常不用于晶體.
密封測試確定包裝中是否存在泄漏.通常指定兩種測試:總泄漏和細泄漏.大多數晶體包裝都應同時通過.總泄漏測試涉及通過將晶體浸入液體室內來進行某種類型的氣泡檢查.精細泄漏測試系統使用氦氣作為示蹤氣體和氦氣檢測器.可以檢測到低至1x10-9cc/sec的電平.大多數晶體規格為1x10-8cc/sec.良好的氣密性將確保在晶體的整個使用壽命內具有良好的老化效果.
可焊性測試確定焊料對晶體諧振器的引線或附著墊的潤濕性.在使用弱助焊劑或不使用清潔工藝的大批量生產中,必須具有良好的可焊性,以減少對電路板清洗的需求.蒸汽老化是一種測試方法,用于驗證隨著時間的推移實現了良好的可焊性.在可焊性測試之前用蒸汽對引線進行預處理,可以幫助延長長達6個月的保質期.這對您的應用程序可能很重要.如果您在收到晶體后迅速使用晶體,則可能不需要進行蒸汽測試.通過指定MIL-STD-202方法208,將需要進行蒸汽預處理.在您的晶體上要求進行此測試可能會稍微影響價格,因此,在指定蒸汽預處理之前,考慮您的應用可能是您的優勢.
詞匯表:
活性下降
一種不需要的晶體特性,表現為晶體電阻和共振頻率的突然變化,隨后同樣突然地恢復到先前的值.活性下降受晶體驅動電平和負載電容的影響很大.
老化
由于石英晶體諧振器內部變化引起的頻率隨時間的系統變化.老化通常表示為每年百萬分之幾的最大值[ppm/年].老化的速度本質上是對數的.以下因素影響晶體老化:諧振器表面污染物的吸附和解吸、安裝和粘合結構的應力消除、材料除氣和密封完整性.
角度
相對于主晶軸,諧振器毛坯從石英材料上切割下來的角度[以度、分和秒為單位].切割角度是控制石英晶體單元頻率與溫度性能的主要因素.
AT切割晶體單元
特定類型石英晶體切割的分類.AT切割是當今最受歡迎的切割類型,適用于兆赫范圍內的晶體單元.AT切割被分類為厚切變體聲波[BAW]晶體單元,具有立方頻率-溫度曲線,拐點接近室溫.它因其出色的溫度頻率特性而廣受歡迎.
基地
底座通常被稱為支架或頂蓋,是石英晶體單元封裝的子組件.
空白的
一種半加工石英諧振器,通常沒有電極鍍層及其支架或底座.
BT切割晶體單元
特定類型石英晶體切割的分類.BT切割以與at切割近似相反的角度進行加工,并被分類為厚度剪切晶體單元,具有拋物線頻率-溫度曲線,其拐點接近室溫.因此,在給定的工作溫度范圍內,BT切割晶體將比AT切割晶體表現出更大的頻移.
電容率
晶體分流電容[C0]除以晶體運動電容[C1].并聯負載諧振頻率變化的指示器,是晶體負載電容給定變化的直接結果.在VCXO晶振應用中,頻率調制需要晶體并聯諧振頻率的變化,可以指定電容比,符號”r”.當在物理石英晶體設計中實現時,該比值有局限性.
陶瓷封裝
這種封裝通常被稱為集管或無引腳芯片載體(LCC),是一種表面貼裝晶體封裝,以陶瓷為主要封裝材料.這種封裝與金屬蓋或蓋集成在一起,為石英晶體提供了一個密封的密封外殼.
晶體切片
相對于石英棒的晶軸切割晶體空白板.晶體切割的類型影響晶體的老化頻率穩定性和其他參數.
晶體等效電路
晶體器件由鍍有金屬[電極]的石英諧振器毛坯組成.該鍍層位于晶體的兩側,并與晶體封裝上的絕緣引線相連.該器件在兩個晶體電極之間表現出壓電響應,用晶體等效電路表示,該等效電路由以下元件組成:運動電容[C1]、運動電感[L1]、運動電阻[R1]和分流電容[C0].
晶體振蕩器
一種計時裝置,由石英晶體諧振器和振蕩器維持電路(通常為時鐘集成電路)組成,集成在單個封裝中,以特定的參考頻率提供輸出波形.該術語通常縮寫為XO或SPXO[簡單封裝晶體振蕩器].
晶體單元
一種計時裝置,由石英晶體諧振器及其相關組件組成.
驅動電平
石英晶體的驅動或激勵電流的函數.驅動電平是指晶體中的功耗,以微瓦或毫瓦表示.最大驅動功率是器件在保證所有電氣參數的情況下仍能保持運行的最大功耗.驅動水平應保持在啟動正確啟動和確保穩態振蕩所需的最低水平.過高的驅動電平會導致老化特性變差,并可能對晶體造成永久性損壞.
等效串聯電阻
晶體器件的電阻元件[R1],單位為歐姆.在晶體的串聯諧振頻率下,運動電感[L1]和運動電容[C1]的歐姆值相等,但相位正好相反.最終結果是它們相互抵消,在等效電路的串聯支路中只剩下一個電阻.電子自旋共振測量僅在串聯諧振頻率[fS]下進行,而不是在某個預定的并聯諧振頻率[fL]下進行.
彎曲振動
音叉晶體諧振器的一種振動模式,其中振動板的彎曲運動用作振動源.這種類型的振動適用于低頻[千赫]晶體器件.
頻率
以赫茲[赫茲]計量,它是一個事件在一個時間單位內的周期性重復.在電路中,它是指諧振片在一秒鐘內振蕩或振動的次數.
頻率穩定度
工作溫度范圍內與環境溫度頻率的頻率偏差量.該術語表示為最小和最大百分比[%]或百萬分之幾[ppm],由以下主要因素決定:石英切割的類型和石英切割的角度.一些次要因素包括:工作模式、負載電容和驅動電平.
頻率公差
通常稱為校準精度,它是指室溫[+25℃]下與規定的額定頻率的頻率偏差量.該術語表示為最小和最大百分比[%]或百萬分之幾[ppm].
基本形式
共振板振動的第一階和最低階頻率由共振板的物理尺寸決定.
赫茲[赫茲]
頻率的基本測量單位.它是用來表示一個事件在一秒鐘內一次完全發生的度量.晶體的頻率以兆赫或千赫為單位.
絕緣電阻
以最小值表示的晶體引線之間以及晶體引線和基極之間的電阻.
負載電容
呈現給晶體的電容,單位為皮法.并聯負載諧振頻率[fL]是負載電容的函數.
運行方式
石英晶體被設計成根據其基本模式或其泛音之一振動.對于AT切割石英晶體,泛音模式為奇次諧波.石英器件的工作模式是決定振蕩頻率的因素之一.
運動電容
晶體單元中的等效靜電電容分量.晶體的運動電容[C1]和運動電感[L1]以串聯諧振頻率[fS]諧振.當C1在石英晶體設計中實現時,它的實際價值有物理限制.這些限制包括操作模式、晶體切割、機械設計和標稱頻率.
運動電感
晶體單元中的等效電感元件.晶體的運動電感[L1]和運動電容[C1]以串聯諧振頻率[fS]諧振.當L1在石英晶體設計中實現時,它的實際價值有物理限制.這些限制包括操作模式、晶體切割、機械設計和標稱頻率.
標稱頻率
晶體的特定參考頻率或中心頻率,通常以兆赫[兆赫]或千赫[千赫]表示.貼片石英晶振設計和制造所需的頻率.
工作溫度范圍
設備在振蕩過程中可能暴露的最低和最高溫度.在此溫度范圍內,所有設備指定的操作參數都得到保證.
泛音模式
基本振動階的奇數倍數.
包裹
用于容納石英晶體毛坯的支架或集管.該封裝有利于毛坯安裝,并保持惰性氣氛,以保持內部晶體的振動性能.包裝包括金屬或陶瓷等材料,分為通孔或表面貼裝.
拋物線溫度曲線
頻率與溫度的關系曲線,顯示溫度高于或低于周轉溫度時頻率降低.
超詳細業內資料一篇文帶你全方位了解什么是石英晶體
以石英,水晶為原材料的石英晶體和石英晶體振蕩器已擁有很長一段歷史了,按時間算已經有100多年,只不過在20世紀40年代才開始真正的發展起來,并且非常迅速,至今石英晶振已經成為各種電子,電氣,智能產品重要的,關鍵的電子元器件.雖然已經很常用了,但如果不是專業人士,一般群眾對晶體的認識少之又少,金洛鑫電子整理的這些資料,可以帶廣大新老客戶全方位的了解什么是晶體晶振,看完之后至少會有基礎的認識,如有疑問,歡迎在評論區留言!
背景歷史
雅克和皮埃爾·居里于1880年發現了石英的壓電特性.第一個石英晶體振蕩器是由沃爾特·卡迪在1921年制造的.1923年,英國國家物理實驗室的戴伊和貝爾電話實驗室的沃倫·馬里奧森用石英振蕩器產生了一系列精確的時間信號.
壓電效應
石英板在受到電荷時顯示出機械運動或應變,相反,當受到機械應力時,它們顯示出面之間的電位差.電應力和機械運動之間的這種關系被稱為壓電效應.壓電諧振器有四種基本的機械振動模式.
1.彎曲模式
2.剪切模式
3.縱模
4.扭轉模式
AT切割水晶
最常見的晶體設計之一是AT切割晶體,它將是貫穿本應用筆記的參考晶體類型.對于1兆赫以上的頻率,通常只使用厚度剪切振動模式.AT切割晶體的頻率由晶體的厚度決定,即晶體越薄,頻率越高.諧振器的振動質量相當于一系列運動電感,L1.晶體的機械損耗表現為等效串聯電阻R1,而晶體的機械彈性相當于串聯電容C1.C0是與保持器和電極電容相關聯的并聯電容.AT切割晶體具有良好的穩定性和溫度特性,這是它們受歡迎的原因之一. 公式-等效電子
除非另有說明,否則ATCut晶體將以基本模式運行.但是,任何AT晶振都可能以基頻的泛音或奇數倍數工作.這意味著10MHz的基本晶體將在10MHz,30MHz[第三次泛音],50MHz[第五次泛音]等條件下工作.使用泛音[奇次諧波]可使高頻工作,同時保持較厚的石英晶片.

石英晶體的等效電路如下所示.可以指定每個組件來幫助表征設備的獨特屬性.在定義石英晶體的規格時,應檢查等效電路的各個參數.對于所有設計,每種類型的晶體設計都有限制.

L1:晶體的運動電感取決于運動中石英的機械質量.較低的頻率(較厚和較大的石英晶片)趨向于運行幾亨,而較高的頻率(較薄和較小的石英晶片)趨向于運行幾毫亨.L1和C1之間的關系由以下公式定義.最好讓客戶指定C1[必要時],然后可以計算L1.

C1:動電容由石英的剛度[常數],晶體表面的金屬化面積[電極尺寸]以及晶片的厚度和形狀決定.在較低的頻率下,必須對晶片進行定形(輪廓或倒角)以提高性能.這將降低設備的C1.基本模式晶體的C1范圍約為0.005pF至0.030pF.通常,如果在泛音上使用基本設計,則C1將除以泛音的平方.[第三諧波將是基本面的1/9]

R1:運動電阻是貼片晶振等效電路的電阻元件.該電阻表示晶體在自然諧振頻率[串聯諧振]下的等效阻抗.對于給定的晶體Q和串聯諧振頻率,運動電阻與晶體的有效面積成反比.有效面積與電極面積大致相同.因此,較小的晶體具有較高的R1.實際上,較小晶體的Q不如較大晶體的Q高.減小的Q也有助于提高R1.如果未將電路調整為適應更高的R1,則可能導致振蕩器出現啟動問題.

C0:晶體的并聯電容部分歸因于晶片的厚度.這是在不振動的情況下測得的電容.分流電容范圍為1-7pF.由于與振蕩器電路兼容,通常不超過7pF.

品質因數[Q]:代表諧振曲線的清晰度的因數.與其他諧振器類型相比,石英具有很高的Q值,典型值范圍為10,000至100,000s.

頻率
頻率值通常以千赫茲[kHz]為單位,最高為999.999,以兆赫茲[MHz]為1.0以上.
公差與穩定性
頻率值通常以千赫茲[kHz]為單位指定,最高為999.999,以兆赫茲[MHz]為單位.
1.在室溫下校準,或有時稱為公差
2.在溫度范圍內的穩定性
3.老化
室溫下的校準是+25℃下電路中頻率的精度.典型公差范圍為±10ppm至±100ppm.通過改變電極的質量,可以將晶體調諧到規定公差內的所需頻率.較高的頻率對質量變化更敏感,因此更難保持更嚴格的公差.存在在某些設計上滿足±5ppm精度的能力,但是在某些情況下,測量的可重復性成為問題.對于大多數設計而言,只有在規定的精度超過±10ppm且對±5ppm的要求應用了可觀的成本增加器之后,才產生高額成本.
高溫穩定性取決于切割石英棒以生產晶片的角度.這與校準無關.選擇該角度可控制給定溫度范圍內的頻率漂移.最受歡迎的頻率削減系列是“AT”削減.ATCut用于以+25℃為中心的非受控環境.
可以選擇三個不同的角度來優化不同范圍內的性能.較低的角度可用于-20℃~+70℃的溫度范圍,應選擇較大的角度以適用于較寬的溫度范圍.在給定的溫度范圍內,在更嚴格的公差(較小的ppm偏移)范圍內的性能受到曲線本身以及角度切割精度的限制.好的切割精度可以低至1至2分鐘,而測量精度則可以精確至0.1分鐘.與該過程有關的擴散和為3分鐘以上的時間增加的成本增加了成本.曲線允許對溫度范圍的公差進行理論限制.注意不要指定不可能的情況.
典型AT-Cut晶體的溫度曲線顯示在右側.這通常被稱為Bechmann曲線.石英水晶振子的老化是其頻率相對于時間的變化. 串聯或并聯
一個常見的問題是應為晶體指定什么相關性:串聯或并聯?如果是并聯,應指定什么負載電容?這些問題可以通過分析晶體將使用哪種類型的振蕩器電路來回答.晶體制造商必須知道此信息,才能將晶體正確調整到特定應用所需的頻率.振蕩發生的頻率由該公式定義.

晶體的電抗曲線揭示了發生機械共振的位置.串聯諧振發生在曲線過零的點.在這一點上,晶體似乎是一個被電容分流的簡單電阻.通過在晶體上串聯或并聯增加電容[負載],會發生并聯諧振,從而導致正頻移.

負載電容
如果指定了并聯諧振,但調出了錯誤的負載電容,則將出現頻率誤差.對于公差要求比較嚴格的應用,正確指定此參數至關重要.對于大多數微處理器應用,兩個負載電容器分別連接到晶體的每個引腳到地.為了計算合適的負載電容CL,您必須考慮晶體插入應用時將看到的總電容CT.由于應用板的原因,它將看到負載電容器以及任何其他雜散電容CS.用于計算總負載的公式定義為:

可拉性
當晶體以并聯諧振運行時,它在電路中看起來是電感性的.隨著電抗的改變,頻率相應地改變,從而改變了晶體的可拉性.fs和fa之間的差異取決于晶體的C0/C1比.可以設計晶體的可拉伸性以滿足客戶的要求.但是,上拉功能隨封裝尺寸,電極尺寸,頻率,負載電容范圍和工作模式而變化.

石英晶體具有許多振動模式,可以通過振蕩器輸入正確的頻率來激發它.可以調整晶片的設計,電極圖案和金屬化量以抑制這些有害模式.這些不需要的模式稱為偽模式.
如果響應與主模式一樣強,則雜散模式可能會成為問題.發生這種情況時,振蕩器可能會以雜散模式而不是主模式運行.這稱為模式跳躍.雜散模式應指定為與主模式的電阻比或dB抑制.1.5或2到1的電阻比足以避免大多數石英晶體振蕩器的模式跳變.-3dB到-6dB大約等效于dB規格.
晶體的基本模式可以實現最佳的雜散抑制,而泛音響應則更難控制.由于可拉性原因而需要較高C1值的設計也可能會犧牲雜散模式抑制.對于晶體濾波器設計,基本模式/低C1設計可以滿足低至-40dB的雜散模式抑制.
雜散模式出現在主模式以下幾百千赫茲的范圍內,響應可能如下圖所示.某些振蕩器設計有時需要指定抑制泛音響應.由于所有的泛音響應都可以激發為振動,因此會發生從基頻到第三泛音的模式跳變.為了減少電路修改成本,也可能需要或希望使用振蕩器設計.這些修改有時會影響其他參數,因此明智的做法是與工廠聯系以討論設計選項. 其他常用術語和概念
晶體的老化是頻率相對于時間的變化.該性能受兩個主要因素影響:污染和壓力.老化值范圍從第一年的小于±1ppm到第一年的高達±5ppm,并取決于頻率,設計和包裝樣式.自身附著在晶片表面的污染會由于質量負載而導致負頻率偏移.制造過程的清潔度和晶體的清潔度可以改善老化性能.包裝的氣密性有助于在晶體使用壽命內避免污染.封裝類型和密封方法也可以改善老化性能.
在應力隨時間的松弛過程中,對石英晶片的應力效應會導致正向頻移.該應力是由于安裝結構扭曲,推動或拉動晶片而產生的.這可能發生在石英毛坯的處理,環氧樹脂安裝膠的固化,晶體安裝結構以及設備中使用的金屬電極材料類型的晶體的各種組件中.加熱和冷卻還由于不同的膨脹系數而引起應力.隨著系統松弛,系統中的壓力通常會隨著時間而變化,這可能會導致頻率變化.為了幫助加速應力的松弛,有時會使用熱循環來”鍛煉”安裝結構并緩解應力.
加速老化可以通過加速加熱來預測老化性能.將晶體放在高溫烤箱中會加速老化效果,因此可以在短短幾周內看到一年的老化時間.晶體的時效曲線是對數的,因此在第一年中觀察到最差的時效.指定老化規范時的一個常見錯誤是,假設第一年的±1ppm老化意味著±10ppm的十年.這不是真的.第一年±1ppm的老化將導致十年內約±3ppm.
測量精度當指定晶體的公差時,測量精度可能是可制造性的問題.使用”零相位”或無源測量技術,精度可能達到百萬分之幾.對于串聯諧振晶體,由于測量的可重復性,±5ppm的公差不被認為是問題.當指定并聯諧振或負載測量時,故障開始.測量的最終精度取決于負載電容的精度.并聯諧振測量中使用的負載電容器的精度由下面的調整靈敏度公式表示.如果負載電容變小,則DeltaF/pF將變大.另外,如果運動電容變大,則ΔF/pF變大.
例如:
100MHz基本
C1為0.020pF
C0為4.5pF
對于10pF的負載電容,調整靈敏度將為48ppm/pF.

如果負載電容的精度為0.5pF,則測量精度為24ppm.另一方面,如果負載為20pF,則修整靈敏度為16ppm/pF,并且在相同負載精度下,測量精度為8ppm.這些僅是說明指定低負載電容的影響的示例.
驅動電平是晶體中耗散的RMS功率量,通常以毫瓦[mW]或微瓦[µW]表示.最大驅動電平是晶體可以安全消散并仍在規定的電氣參數范圍內保持功能的最大功率.過多的驅動器電平會導致頻率意外變化[加速老化],從而導致等效串聯電阻增加.如果發生對晶體安裝結構的損壞,這些變化可能是永久性的,如果諧振器損壞,這些變化將是災難性的.
晶體的測量還需要指定驅動電平.為了獲得更高的精度,首選較低的驅動級別.驅動級別通常在10uW至2mW之間.具有較大石英晶片的低頻設備可以處理更高的驅動電平而不會造成損壞.更高的驅動電平(高于5mW)可能會損壞較小的高頻設備.當今的應用很少能驅動高于2mW的晶體,典型的最大功率為100uW.
如果客戶未定義,CTS將指定100uW的標準最大驅動器級別.由于在振蕩電路工作時驅動電平指示晶體單元的功耗,因此將晶體保持在驅動電平規格之內非常重要.
驅動電平相關性[DLD]或驅動電平靈敏度[DLS]描述了一種現象,即由于石英固有的微小材料非線性,所有諧振器都取決于某個驅動電平.DLD是可以防止晶振開始振蕩的原因之一.在低驅動水平下,某些石英諧振器的串聯電阻可能會大幅增加,從而阻止了它們開始振蕩.一些工程師將它們描述為“睡眠晶體”.該電路有時會啟動,而不會在其他時間啟動,但可以通過觸摸示波器探頭,手指或更多驅動器來激發.實施DLD測試可以確保ESR和頻率的變化在最大范圍內,從而確保了初始電源啟動.
環境在晶體規格中,電氣性能規格將確定其是否可以正常運行,但是環境規格可確保晶體的可靠性.重要的是要認識到應用環境并適當地指定要求.MIL-STD-202定義了適用于晶體的環境測試:
•機械沖擊
•振動
•耐腐蝕性能
-濕度
-鹽霧
-濕氣
•熱沖擊
•氣質
•可焊性
機械沖擊測試決定了跌落時設計的強度.軍方使用的標準基線規格是100克.如果應用程序環境良好,并且在組裝過程中使用了適當的處理方法,則此規格已足夠.但是在很多情況下,零件在組裝過程中會意外掉落,我們希望晶體仍能正常工作.從桌面高度掉落水晶可能會導致超過1,000克的重量.CTS設計范圍從500克到10,000克以上.持續時間[時間]通常伴隨著g電平來表征脈沖.低沖擊水平下的持續時間可能很長[20ms].較高的震動等級[5,000g’s]會縮短持續時間[1/4ms].一些設計是專門的,有時會影響電氣性能.請聯系CTS以獲得有關特定晶體設計性能的信息.另外,CTS可以建議適當的處理程序,以避免損壞晶體.
振動測試晶體在振動條件下的功能.如果冷卻風扇在機架中運轉,則它可能會振動,從而導致晶體振動.如果引擎靠近水晶,會感覺到震動.振動會導致石英晶片破裂或破裂,從而損壞晶體.為了通過更嚴格的振動要求,需要對內部安裝結構進行適當的設計.軍事基準振動規范為10g,適用于10到500Hz.晶體的更嚴格的規范是在更高的頻率(高達200Hz)和/或更高的g水平.同樣重要的是,應將晶體安裝在印刷電路板上,以減少晶體和電路板的Q形.Q-ing是當振動由于與板或晶體的自然共振而放大時.發生這種情況時,g含量會顯著升高,通常會損壞晶體.
耐腐蝕性是晶體抗銹的能力.鹽霧測試表明,金屬或陶瓷包裝不會生銹,并且包裝不會隨時間而破裂.如果金屬部分未正確電鍍,則用于制造的水洗系統可能會使包裝生銹.對于電阻焊應用,CTS使用鎳合金蓋或鍍鎳的KOVAR蓋以確保CTS零件不會生銹.
濕度和濕度測試不僅可以測試防銹性能,還可以測試密封包裝的滲透性.如果水分進入包裝內,將導致性能不佳或無輸出.為了在晶體中具有出色的長期性能,必須具有良好的干燥氣氛.
熱沖擊是一種在溫度快速變化的情況下測試封裝和石英晶片兼容性的方法.如果不兼容,晶體的性能將急劇變化或封裝可能泄漏.通常,在熱沖擊后執行泄漏測試.對于晶體,標準測試是在空對空環境中進行的,溫度范圍從-65℃到+125℃.液對液測試通常不用于晶體.
密封測試確定包裝中是否存在泄漏.通常指定兩種測試:總泄漏和細泄漏.大多數晶體包裝都應同時通過.總泄漏測試涉及通過將晶體浸入液體室內來進行某種類型的氣泡檢查.精細泄漏測試系統使用氦氣作為示蹤氣體和氦氣檢測器.可以檢測到低至1x10-9cc/sec的電平.大多數晶體規格為1x10-8cc/sec.良好的氣密性將確保在晶體的整個使用壽命內具有良好的老化效果.
可焊性測試確定焊料對晶體諧振器的引線或附著墊的潤濕性.在使用弱助焊劑或不使用清潔工藝的大批量生產中,必須具有良好的可焊性,以減少對電路板清洗的需求.蒸汽老化是一種測試方法,用于驗證隨著時間的推移實現了良好的可焊性.在可焊性測試之前用蒸汽對引線進行預處理,可以幫助延長長達6個月的保質期.這對您的應用程序可能很重要.如果您在收到晶體后迅速使用晶體,則可能不需要進行蒸汽測試.通過指定MIL-STD-202方法208,將需要進行蒸汽預處理.在您的晶體上要求進行此測試可能會稍微影響價格,因此,在指定蒸汽預處理之前,考慮您的應用可能是您的優勢.
詞匯表:
活性下降
一種不需要的晶體特性,表現為晶體電阻和共振頻率的突然變化,隨后同樣突然地恢復到先前的值.活性下降受晶體驅動電平和負載電容的影響很大.
老化
由于石英晶體諧振器內部變化引起的頻率隨時間的系統變化.老化通常表示為每年百萬分之幾的最大值[ppm/年].老化的速度本質上是對數的.以下因素影響晶體老化:諧振器表面污染物的吸附和解吸、安裝和粘合結構的應力消除、材料除氣和密封完整性.
角度
相對于主晶軸,諧振器毛坯從石英材料上切割下來的角度[以度、分和秒為單位].切割角度是控制石英晶體單元頻率與溫度性能的主要因素.
AT切割晶體單元
特定類型石英晶體切割的分類.AT切割是當今最受歡迎的切割類型,適用于兆赫范圍內的晶體單元.AT切割被分類為厚切變體聲波[BAW]晶體單元,具有立方頻率-溫度曲線,拐點接近室溫.它因其出色的溫度頻率特性而廣受歡迎.
基地
底座通常被稱為支架或頂蓋,是石英晶體單元封裝的子組件.
空白的
一種半加工石英諧振器,通常沒有電極鍍層及其支架或底座.
BT切割晶體單元
特定類型石英晶體切割的分類.BT切割以與at切割近似相反的角度進行加工,并被分類為厚度剪切晶體單元,具有拋物線頻率-溫度曲線,其拐點接近室溫.因此,在給定的工作溫度范圍內,BT切割晶體將比AT切割晶體表現出更大的頻移.
電容率
晶體分流電容[C0]除以晶體運動電容[C1].并聯負載諧振頻率變化的指示器,是晶體負載電容給定變化的直接結果.在VCXO晶振應用中,頻率調制需要晶體并聯諧振頻率的變化,可以指定電容比,符號”r”.當在物理石英晶體設計中實現時,該比值有局限性.
陶瓷封裝
這種封裝通常被稱為集管或無引腳芯片載體(LCC),是一種表面貼裝晶體封裝,以陶瓷為主要封裝材料.這種封裝與金屬蓋或蓋集成在一起,為石英晶體提供了一個密封的密封外殼.
晶體切片
相對于石英棒的晶軸切割晶體空白板.晶體切割的類型影響晶體的老化頻率穩定性和其他參數.
晶體等效電路
晶體器件由鍍有金屬[電極]的石英諧振器毛坯組成.該鍍層位于晶體的兩側,并與晶體封裝上的絕緣引線相連.該器件在兩個晶體電極之間表現出壓電響應,用晶體等效電路表示,該等效電路由以下元件組成:運動電容[C1]、運動電感[L1]、運動電阻[R1]和分流電容[C0].
晶體振蕩器
一種計時裝置,由石英晶體諧振器和振蕩器維持電路(通常為時鐘集成電路)組成,集成在單個封裝中,以特定的參考頻率提供輸出波形.該術語通常縮寫為XO或SPXO[簡單封裝晶體振蕩器].
晶體單元
一種計時裝置,由石英晶體諧振器及其相關組件組成.
驅動電平
石英晶體的驅動或激勵電流的函數.驅動電平是指晶體中的功耗,以微瓦或毫瓦表示.最大驅動功率是器件在保證所有電氣參數的情況下仍能保持運行的最大功耗.驅動水平應保持在啟動正確啟動和確保穩態振蕩所需的最低水平.過高的驅動電平會導致老化特性變差,并可能對晶體造成永久性損壞.
等效串聯電阻
晶體器件的電阻元件[R1],單位為歐姆.在晶體的串聯諧振頻率下,運動電感[L1]和運動電容[C1]的歐姆值相等,但相位正好相反.最終結果是它們相互抵消,在等效電路的串聯支路中只剩下一個電阻.電子自旋共振測量僅在串聯諧振頻率[fS]下進行,而不是在某個預定的并聯諧振頻率[fL]下進行.
彎曲振動
音叉晶體諧振器的一種振動模式,其中振動板的彎曲運動用作振動源.這種類型的振動適用于低頻[千赫]晶體器件.
頻率
以赫茲[赫茲]計量,它是一個事件在一個時間單位內的周期性重復.在電路中,它是指諧振片在一秒鐘內振蕩或振動的次數.
頻率穩定度
工作溫度范圍內與環境溫度頻率的頻率偏差量.該術語表示為最小和最大百分比[%]或百萬分之幾[ppm],由以下主要因素決定:石英切割的類型和石英切割的角度.一些次要因素包括:工作模式、負載電容和驅動電平.
頻率公差
通常稱為校準精度,它是指室溫[+25℃]下與規定的額定頻率的頻率偏差量.該術語表示為最小和最大百分比[%]或百萬分之幾[ppm].
基本形式
共振板振動的第一階和最低階頻率由共振板的物理尺寸決定.
赫茲[赫茲]
頻率的基本測量單位.它是用來表示一個事件在一秒鐘內一次完全發生的度量.晶體的頻率以兆赫或千赫為單位.
絕緣電阻
以最小值表示的晶體引線之間以及晶體引線和基極之間的電阻.
負載電容
呈現給晶體的電容,單位為皮法.并聯負載諧振頻率[fL]是負載電容的函數.
運行方式
石英晶體被設計成根據其基本模式或其泛音之一振動.對于AT切割石英晶體,泛音模式為奇次諧波.石英器件的工作模式是決定振蕩頻率的因素之一.
運動電容
晶體單元中的等效靜電電容分量.晶體的運動電容[C1]和運動電感[L1]以串聯諧振頻率[fS]諧振.當C1在石英晶體設計中實現時,它的實際價值有物理限制.這些限制包括操作模式、晶體切割、機械設計和標稱頻率.
運動電感
晶體單元中的等效電感元件.晶體的運動電感[L1]和運動電容[C1]以串聯諧振頻率[fS]諧振.當L1在石英晶體設計中實現時,它的實際價值有物理限制.這些限制包括操作模式、晶體切割、機械設計和標稱頻率.
標稱頻率
晶體的特定參考頻率或中心頻率,通常以兆赫[兆赫]或千赫[千赫]表示.貼片石英晶振設計和制造所需的頻率.
工作溫度范圍
設備在振蕩過程中可能暴露的最低和最高溫度.在此溫度范圍內,所有設備指定的操作參數都得到保證.
泛音模式
基本振動階的奇數倍數.
包裹
用于容納石英晶體毛坯的支架或集管.該封裝有利于毛坯安裝,并保持惰性氣氛,以保持內部晶體的振動性能.包裝包括金屬或陶瓷等材料,分為通孔或表面貼裝.
拋物線溫度曲線
頻率與溫度的關系曲線,顯示溫度高于或低于周轉溫度時頻率降低.
超詳細業內資料一篇文帶你全方位了解什么是石英晶體
正在載入評論數據...
相關資訊
- [2025-08-29]CTS致力于成為技術的前沿提供創...
- [2025-08-29]Diodes宣布推出一款智能48通道L...
- [2025-08-25]Rakon瑞康為什么應該放棄標準CO...
- [2025-08-25]Transko特蘭斯科推出了結合MEMS...
- [2025-08-23]SiT5503超精密溫度補償晶體振蕩...
- [2025-08-23]探索SiTime專為導航航空航天和國...
- [2024-04-11]CTECH濾波器型號數據列表CLB75P...
- [2024-03-18]Statek晶振產品應用CX20SCSM1-1...